Türkiye’de milyonlarca çalışanın gözü Asgari Ücret Tespit Komisyonu’nun belirleyeceği 2026 yılı asgari ücretine çevrilmişken, yapılan yeni bir analiz asgari ücretlinin konuta erişiminin giderek zorlaştığını ortaya koydu.
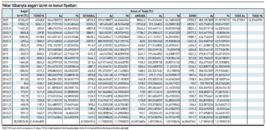
EKONOMİ gazetesinin, Türkiye Cumhuriyet Merkez Bankası’nın konut fiyat endeksi verilerinden yararlanarak yaptığı çalışmaya göre; mevcut kredi koşulları altında bir asgari ücretlinin 90 metrekarelik bir konut satın alabilmesi için Türkiye ortalamasında 346 ay yani yaklaşık 29 yıl çalışması gerekiyor.
Rakamlarla
|
Hüseyin Gökçe'nin Ekonomim.com'daki haberine göre, bu süre büyükşehirlerde ise çok daha uzun. İstanbul’da 559 ay (46,6 yıl), Ankara’da 314 ay (26,2 yıl) ve İzmir’de 383 ay (yaklaşık 32 yıl) çalışmadan 90 metrekarelik bir konuta sahip olmak neredeyse mümkün görünmüyor.
Hesaplamalar, maaşın en fazla yüzde 50’si oranında kredi taksiti ödenebildiği ve faiz oranının sıfır olduğu varsayımıyla yapıldı. Buna göre halen 22 bin 104 lira olan asgari ücrette, aylık ödenebilecek taksit tutarı yaklaşık 11 bin 52 lira seviyesinde kalıyor.
Uzun vadeli finansman modeli zorunlu
Gayrimenkul sektörü temsilcileri, gelir artışı ile konut fiyatları arasındaki makasın açıldığını belirterek, “Faizsiz dahi olsa mevcut gelir seviyeleriyle dar ve orta gelir grubunun konut sahibi olması giderek imkânsız hale geliyor. Sosyal konut projeleri ve uzun vadeli finansman modelleri artık zorunluluk” değerlendirmesinde bulunuyor.
️ Barınma sorunu artık sosyal bir kriz
Sosyal medyada birçok kullanıcı, “Bir ömür çalışıp ev alamamak” eleştirisi yaparken, özellikle büyükşehirlerde barınma sorununun artık sosyal bir krize dönüştüğü yönünde paylaşımlar dikkat çekiyor. 
Yüzde 25 zam olursa süre kısalıyor
2026 yılında asgari ücretin yüzde 25 artarak 27 bin 500 liraya yükselmesi halinde dahi tablo çok değişmiyor. Bu senaryoda:
Türkiye ortalaması: 278 ay (23 yıl)
İstanbul: 449 ay (37,5 yıl)
Ankara: 252 ay (21 yıl)
İzmir: 308 ay (25,7 yıl)
çalışmak gerekiyor.
TOGG için bile 16 yıl çalışmak şart
Analizde sadece konut değil, otomobil alım gücü de ele alındı. Fiyatı 2 milyon 172 bin lira olan yerli elektrikli otomobil TOGG T10X uzun menzil versiyonunu alabilmek için bir asgari ücretlinin yaklaşık 196 ay yani 16 yıl çalışması gerekiyor.
Artan konut fiyatları, sınırlı kredi imkânları ve yükselen yaşam maliyetleri birlikte değerlendirildiğinde, 2026 asgari ücreti için yapılacak artışın yalnızca gelir değil, barınma hakkı açısından da kritik önem taşıdığı görülüyor.
















